Chemical mixing in low mass stars. I. Rotation against atomic diffusion including radiative acceleration
Abstract
Context. When modelling stars with masses higher than 1.2 M☉ with no observed chemical peculiarity, atomic diffusion is often neglected because, on its own, it causes unrealistic surface abundances compared with those observed. The reality is that atomic diffusion is in competition with other transport processes. Rotation is one of the processes able to prevent excessively strong surface abundance variations.
Aims: The purpose of this study is to quantify the opposite or conjugated effects of atomic diffusion (including radiative acceleration) and rotationally induced mixing in stellar models of low mass stars, and to assess whether rotational mixing is able to prevent the strong abundance variations induced by atomic diffusion in F-type stars. Our second goal is to estimate the impact of neglecting both rotational mixing and atomic diffusion in stellar parameter inferences for stars with masses higher than 1.3 M☉.
Methods: Using the Asteroseismic Inference on a Massive Scale (AIMS) stellar parameter inference code, we infer the masses and ages of a set of representative artificial stars for which models were computed with the Code d'Evolution Stellaire Adaptatif et Modulaire (CESTAM; the T stands for Transport) evolution code, taking into account rotationally induced mixing and atomic diffusion, including radiative acceleration. The observed constraints are asteroseismic and classical properties. The grid of stellar models used for the optimization search include neither atomic diffusion nor rotationally induced mixing. The differences between real and retrieved parameters then provide an estimate of the errors made when neglecting transport processes in stellar parameter inference.
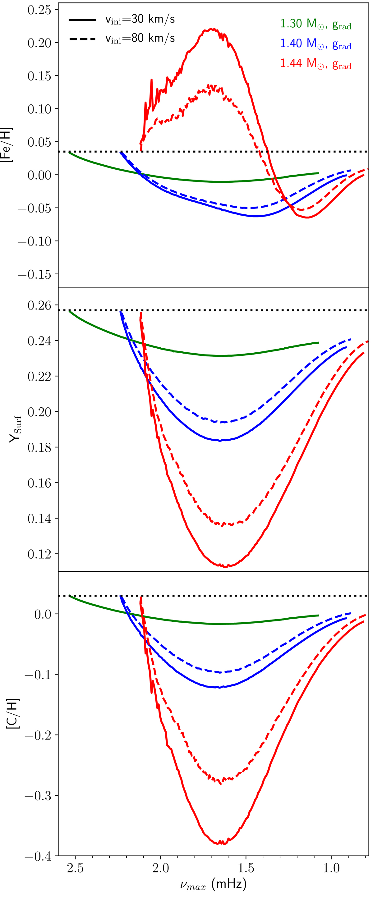
Results: We show that for masses lower than 1.3 M☉, rotation dominates the transport of chemical elements and strongly reduces the effect of atomic diffusion, with net surface abundance modifications similar to solar values. At higher mass, atomic diffusion and rotation are competing equally. Above 1.44 M☉, atomic diffusion dominates in stellar models with initial rotation lower than 80 km s-1 producing a chemical peculiarity which is not observed in Kepler Legacy stars. This indicates that a transport process of chemical elements is missing, probably linked to the missing transport process of angular momentum needed to explain rotation profiles in solar-like stars. Importantly, neglecting rotation and atomic diffusion (including radiative acceleration) in the models, when inferring the parameters of F-type stars, may lead to respective errors of ≈5%, ≈2.5%, and ≈25% for stellar masses, radii, and ages.
Conclusions: Atomic diffusion (including radiative acceleration) and rotational mixing should be taken into account in stellar models in order to determine accurate stellar parameters. When atomic diffusion and shellular rotation are both included, they enable stellar evolution codes to reproduce the observed metal and helium surface abundances for stars with masses up to 1.4 M☉ at solar metallicity. However, if rotation is actually uniform for these stars (as observations seem to indicate), then an additional chemical mixing process is needed together with a revised formulation of rotational mixing. For higher masses, an additional mixing process is needed in any case.
- Publication:
-
Astronomy and Astrophysics
- Pub Date:
- January 2020
- DOI:
- 10.1051/0004-6361/201936666
- arXiv:
- arXiv:1910.14335
- Bibcode:
- 2020A&A...633A..23D
- Keywords:
-
- stars: interiors;
- diffusion;
- stars: rotation;
- stars: evolution;
- asteroseismology;
- stars: solar-type;
- Astrophysics - Solar and Stellar Astrophysics
- E-Print:
- 15 pages, 7 figures, accepted for publication in A&