Are the newly-discovered z 13 drop-out sources starburst galaxies or quasars?
Abstract
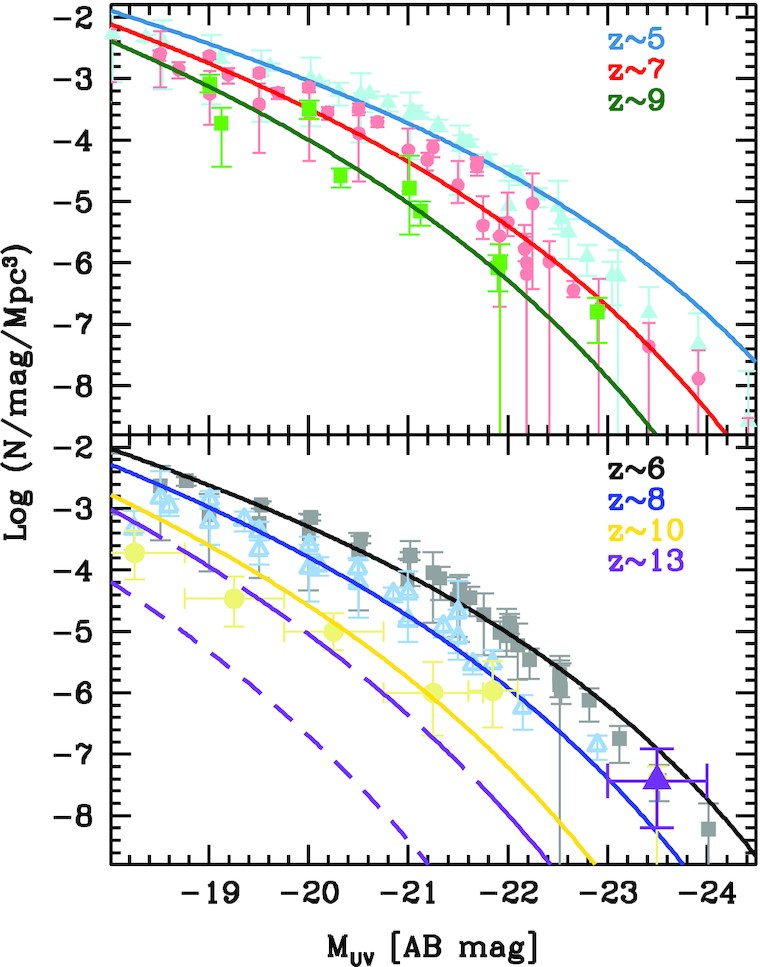
The detection of two z ~ 13 galaxy candidates has opened a new window on galaxy formation at an era only 330 Myr after the big bang. Here, we investigate the physical nature of these sources: are we witnessing star forming galaxies or quasars at such early epochs? If powered by star formation, the observed ultraviolet (UV) luminosities and number densities can be jointly explained if: (i) these galaxies are extreme star-formers with star formation rates 5-24 × higher than those expected from extrapolations of average lower-redshift relations; (ii) the star formation efficiency increases with halo mass and is countered by increasing dust attenuation from z ~ 10-5; (iii) they form stars with an extremely top-heavy initial mass function. The quasar hypothesis is also plausible, with the UV luminosity produced by black holes of $\sim 10^8 \, \rm M_\odot$ accreting at or slightly above the Eddington rate (fEdd ~ 1.0). This black hole mass at z ~ 13 would require very challenging, but not implausible, growth parameters. If spectroscopically confirmed, these two sources will represent a remarkable laboratory to study the Universe at previously inaccessible redshifts.
- Publication:
-
Monthly Notices of the Royal Astronomical Society
- Pub Date:
- July 2022
- DOI:
- arXiv:
- arXiv:2201.00823
- Bibcode:
- 2022MNRAS.514L...6P
- Keywords:
-
- quasars: supermassive black holes;
- galaxies: starbursts;
- galaxies: high-redshift;
- galaxies: luminosity function;
- Astrophysics - Astrophysics of Galaxies;
- Astrophysics - Cosmology and Nongalactic Astrophysics;
- Astrophysics - High Energy Astrophysical Phenomena
- E-Print:
- Accepted for publication in MNRAS Letters. This is the final version of the manuscript. 6 pages, 3 figures