Euclid preparation. V. Predicted yield of redshift 7 < z < 9 quasars from the wide survey
Abstract
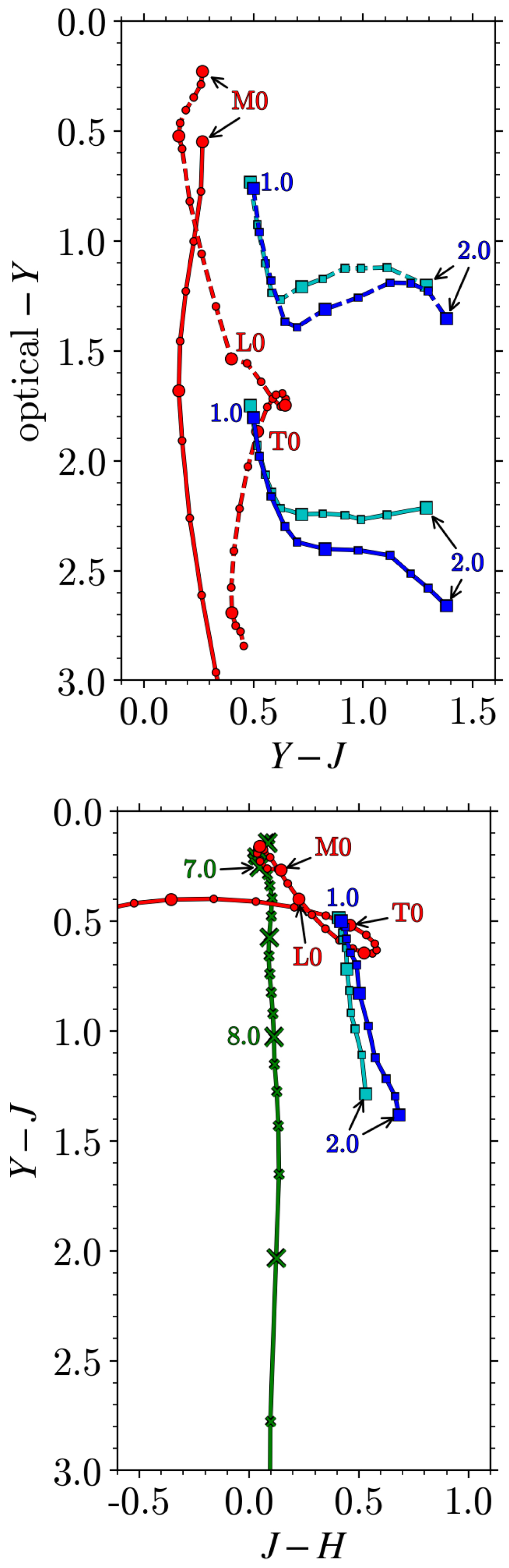
We provide predictions of the yield of 7 < z < 9 quasars from the Euclid wide survey, updating the calculation presented in the Euclid Red Book in several ways. We account for revisions to the Euclid near-infrared filter wavelengths; we adopt steeper rates of decline of the quasar luminosity function (QLF; Φ) with redshift, Φ ∝ 10k(z - 6), k = -0.72, and a further steeper rate of decline, k = -0.92; we use better models of the contaminating populations (MLT dwarfs and compact early-type galaxies); and we make use of an improved Bayesian selection method, compared to the colour cuts used for the Red Book calculation, allowing the identification of fainter quasars, down to JAB ̃ 23. Quasars at z > 8 may be selected from Euclid OYJH photometry alone, but selection over the redshift interval 7 < z < 8 is greatly improved by the addition of z-band data from, e.g., Pan-STARRS and LSST. We calculate predicted quasar yields for the assumed values of the rate of decline of the QLF beyond z = 6. If the decline of the QLF accelerates beyond z = 6, with k = -0.92, Euclid should nevertheless find over 100 quasars with 7.0 < z < 7.5, and ̃25 quasars beyond the current record of z = 7.5, including ̃8 beyond z = 8.0. The first Euclid quasars at z > 7.5 should be found in the DR1 data release, expected in 2024. It will be possible to determine the bright-end slope of the QLF, 7 < z < 8, M1450 < -25, using 8 m class telescopes to confirm candidates, but follow-up with JWST or E-ELT will be required to measure the faint-end slope. Contamination of the candidate lists is predicted to be modest even at JAB ̃ 23. The precision with which k can be determined over 7 < z < 8 depends on the value of k, but assuming k = -0.72 it can be measured to a 1σ uncertainty of 0.07.
- Publication:
-
Astronomy and Astrophysics
- Pub Date:
- November 2019
- DOI:
- 10.1051/0004-6361/201936427
- arXiv:
- arXiv:1908.04310
- Bibcode:
- 2019A&A...631A..85E
- Keywords:
-
- quasars: general;
- methods: statistical;
- surveys;
- Astrophysics - Astrophysics of Galaxies;
- Astrophysics - Cosmology and Nongalactic Astrophysics
- E-Print:
- Published in A&